标题:One-Pot Selective Epitaxial Growth of Large WS2/MoS2 Lateral and Vertical Heterostructures
作者:Juntong Zhu,‡ Wei Li,‡ Rong Huang, Liang Ma, Haiming Sun, Jin-Ho Choi, Liqiang Zhang,* Yi Cui, and Guifu Zou*
单位:Soochow Institute for Energy and Materials InnovationS, and Key Laboratory of Advanced Carbon Materials and Wearable Energy Technologies of Jiangsu Province, Soochow University

TOC
过渡金属硫族化合物(TMDs)的2D异质结由于其原子尺度的厚度而具有独特的物理性质,因此在下一代电子和光电应用中具有很大的潜力。通常,使用机械转移技术和物理气相输运来制备垂直堆垛的范德华(vdW)异质结,并使用化学气相沉积(CVD)方法来生长外延的横向或垂直异质结。然而,由于难以控制成核位点,一锅法中高质量横向和垂直异质结的选择性生长仍然是一个巨大的挑战。
有鉴于此, 财神捕鱼 邹贵付教授首次报道了一锅法策略,可以实现大面积MoS2/WS2横向和垂直异质结的限域和选择性生长。通过引入氢氧化物辅助工艺以控制成核位点,从而实现横向和垂直异质结的可选择形成。飞行时间二次离子质谱验证了氢氧根对这些异质结可控生长的关键作用。MoS2/WS2横向异质结的尺寸可达1 mm,这是迄今为止报道的最大横向尺寸。获得的MoS2/WS2异质结具有~58 cm2 V-1 s-1的高载流子迁移率,并且最大开/关电流比>108。这种方法不仅为大面积MoS2/WS2横向和垂直异质结的选择性生长提供了途径,而且为控制过渡金属硫族化合物异质结选择性生长的表面化学提供了基本的了解。

图1. 借助OH-选择性生长WS2/MoS2横向和垂直异质结。
在前驱体溶液中KOH具有大量OH-,这对于所需异质结的选择性生长至关重要。Na2WO4和(NH4)2MoO4分别用作W和Mo源。如图1a所示,首先在Ar载气中约700 ℃生长MoS2-OH双层,并且OH-附着在MoS2单层的表面以帮助其生长。图1b显示了MoS2-OH三角形晶畴的OM图像,可以实现600 μm的横向长度。最初的Ar气体在700 ℃时促进MoS2的生长,而随后的Ar/H2气体在较高的退火温度下停止MoS2的生长并激活WS2的生长。WS2/MoS2异质结的质量和结构取决于WS2的形核和生长。通常,随着异质结进行W取代,形成MoxW(1-x)S2合金。在此,附着在MoS2单层(001)表面的OH-可有效防止随后的垂直成核和MoS2-OH双层上的W原子取代(图1a),因此有助于WS2在MoS2边缘上的横向外延。通过对比度差异可以清楚地分辨出图1c中蓝宝石上获得的WS2/MoS2横向异质结,其中单个三角形异质结晶畴具有700 μm的较大横向尺寸。将温度提高到850 ℃,边缘WS2和表面OH-层立即分解,随后的成核倾向于在MoS2表面发生而没有OH-层的保护,从而形成WS2/MoS2垂直异质结(图1d)。横截面和平面图(图1e)中显示的原子结构示意图表明了OH-在WS2/MoS2异质结的选择性生长中的重要作用。

图2. (a)三角形横向异质结晶体的光学显微镜图像。(b&e)拉曼光谱和PL光谱。(c&d)WS2和MoS2的相应拉曼成像。(f)横向异质结的AFM图像。(g)KPFM图像。(h)WS2和MoS2晶畴之间界面的原子分辨HAADF-STEM图像。
图2a显示了三角形横向异质结的光学图像,其中的典型拉曼光谱如图2b所示,对应于单层WS2和MoS2。此外,图2c和d分别给出了WS2和MoS2的相应拉曼强度成像。均匀的颜色对比清楚地显示出以下形态:以MoS2为核心和WS2为外壳的横向集成。图2e中的PL光谱显示出MoS2和WS2单层的直接激子发射,对应于1.83和1.98 eV,进一步证实了横向异质结的单层厚度。此外,进行AFM测量以观察WS2/MoS2横向异质结的厚度和表面形态。如图2f所示,横向异质结具有~0.7 nm的均匀厚度。尽管由于MoS2和WS2单层的厚度相似,几乎无法通过厚度来定义二者之间的横向界面,但图2g中相应的KPFM图像可通过观察WS2和MoS2单层表面电势的差异来区分明显的横向界面。这一直接证据表明,合成后的异质结具有高质量的侧向结。图2h显示了WS2和MoS2单层之间原子级清晰的界面,并且WS2由于具有不同的平均原子序数,因此比MoS2具有更高的图像强度。SAED图案仅显示一组六边形斑点,表明单层WS2从具有原子晶格相干性的MoS2边缘外延生长。

图3. (a)堆垛的垂直异质结的光学显微镜图像。(b&c)相应的拉曼光谱和PL光谱。(d&e)垂直异质结的AFM和KPFM图像。(f)高度轮廓。(g)WS2/MoS2垂直异质结的低倍TEM图像。(h&i)MoS2与WS2/MoS2之间界面的HRTEM和HAADF-STEM图像。
当在一锅中退火温度达到850 ℃时,WS2/MoS2异质结显示出垂直堆垛结构(图3a)。尽管遭受热蒸发,异质结仍然很大。图3b给出了三个标记点的典型拉曼光谱,证明了垂直堆垛的结构。此外,PL光谱(图3c)分别在区域1和2中显示出MoS2(1.83 eV)和WS2(1.98 eV)的典型峰位置。由于II型能带结构中从WS2到MoS2的电荷转移具有典型的异质结特性,堆垛区域在相同位置具有两个相对较弱的峰。此外,WS2/MoS2异质结的AFM图像(图3d和f)表明,底层和顶层的厚度分别约为0.68和0.65 nm,与MoS2和WS2单层非常吻合。KPFM图像(图3e)还显示了WS2和堆垛的WS2/MoS2区域之间的不同表面电势,纯WS2的表面电势比WS2/MoS2高100 mV。高度轮廓和表面电势差表明实现了垂直异质结。图3g显示了垂直异质结的明场TEM图像,堆垛的WS2/MoS2三角形区域与MoS2单层显示出鲜明的对比。HRTEM图像如图3h所示,MoS2的晶格间距~0.271和0.159 nm,分别与(100)平面和(110)平面相对应,SAED图案指示一组六边形衍射斑点,表明WS2和MoS2之间发生了垂直异质外延。此外,HAADF-STEM图像(图3i)中的堆垛区域显示出清晰的界面,没有原子缺陷或W原子合金化。

图4. (a)归一化的ToF-SIMS深度轮廓。(b&c)WS2/MoS2横向异质结和WS2/MoS2垂直异质结。(d)MoS2-OH的全覆盖吸附构型的优化结构,所计算的氢氧化物分子的吸附能为-1.66 eV。(e, f)吸附的W1S1和W1S2团簇在MoS2表面上的扩散反应。
为了研究横向和垂直异质结的选择性生长机理,采用ToF-SIMS深度轮廓和化学成像来揭示不同WS2/MoS2异质结中MoS2单层的表面和垂直化学组成。还通过ToF-SIMS分析了获得的MoS2单层,图4a中的深度轮廓图显示了从顶部到底部的OH-,S-,Mo-,S-和Al-(蓝宝石衬底)的连锁序列,证实了MoS2-OH双层结构。如横向异质结所示(图4b),内部MoS2部分的相应深度轮廓未随MoS2-OH双层的变化而变化,而WS2单层的外部则显示出明显的差异。而对于垂直异质结,图4c显示MoS2部分的深度轮廓在MoS2单层表面上没有OH-,这与图1中的结论一致。这种现象归因于通过氢氧化物辅助方法生长的MoS2单层,而在高退火温度下获得的多层MoS2不含氢氧化物。该结果可以通过高温下OH-的热蒸发来解释。
进行系统的DFT计算以了解OH-对WS2/MoS2横向和垂直异质结选择性生长的影响。首先,研究了OH-在单层MoS2上的吸附。对于全覆盖吸附,计算得出的OH-吸附能为-1.66 eV,表明OH-吸附在能量上是有利的(图4d)。吸附的OH-使MoS2层的表面钝化,从而阻碍WS2层的垂直生长,这种性质有助于异质结的横向生长。其次,高温下吸附的OH-从MoS2表面去除,同时侧面WS2的边缘非常活跃且不稳定。为了降低MoS2/WS2的整体能量,边缘处的W原子移动并吸附在MoS2层的表面上,随后成核生长。MoS2单层表面上W1S1和W1S2团簇计算的吸附能分别为-3.98和-2.55 eV,这表明这些团簇的吸附在能量上是有利的。最后,在图4e和f中探讨了吸附的W1S1和W1S2团簇的扩散反应,结果表明,W1S1和W1S2的扩散势垒分别为0.55和1.16 eV。W1S2的能垒越大意味着其越不固定,促进了MoS2上的成核和生长。因此,吸附能和扩散势垒都是异质结垂直生长的重要因素。

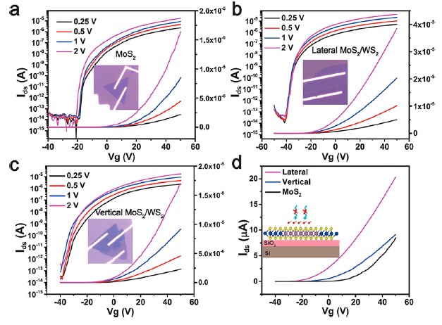
图5. (a-c)MoS2-OH,WS2/MoS2横向异质结和WS2/MoS2垂直异质结的转移特性。(d)三个器件在相同偏置电压(1 V)下的转移曲线
为了研究WS2/MoS2异质结的电学性能,制备了背栅场效应晶体管(FET)。图5a-c中三个器件的转移曲线显示出典型的n型行为。原始MoS2(图5a)和WS2/MoS2横向异质结(图5b)的最大开/关电流比>108,而垂直异质结(图5c)的开/关电流比相对较低,~107。图5d给出了在相同1 V偏置电压下这三个器件的转移曲线,显然,横向异质结具有最高的载流子迁移率。该结果不仅证明了异质结的高质量和清洁界面,而且还表明了OH-对MoS2的保护作用。图5d中的插图显示出表面-OH层可以有效地抑制大气中的氧化和蚀刻。
本文首次通过一锅法策略,利用氢氧化物辅助成核实现了大面积WS2/MoS2横向和垂直异质结的选择性生长。ToF-SIMS分析直接探索了OH-在异质结可控生长中的关键作用。MoS2单层表面上附着的-OH层促进WS2在MoS2边缘的横向外延。随着高温下OH-的去除,随后WS2的成核优先发生在MoS2表面,导致垂直外延异质结的生长。ToF-SIMS图像,拉曼强度成像和HAADF-STEM图像显示出横向和垂直异质结中高质量且清晰的界面。更重要的是,大尺寸(~1 mm)横向异质结表现出出色的电学性能。这项工作不仅为大面积MoS2/WS2横向和垂直异质结的选择性生长提供了途径,而且还提供了对表面化学在控制TMD异质结限域生长中的作用的基本理解。

